HW Lab
2026年3月2日掲載

ロジック回路で扱う信号はロジック回路で発振させたHigh(H)とLow(L)の繰り返し信号はもとより、水晶で発振させた信号、あるいはスイッチのチャタリングノイズが重畳された信号など、時間的に変化するアナログ信号も扱うことがあります。
このようなアナログ信号の場合、シュミットトリガ回路を用いてロジック回路で扱いやすいHとLの信号に変換して処理するのが通常手段です。

図1. インバーターを用いたシュミットトリガ回路の一例
今回は、その逆でHとLで構成された矩形波(Square wave)をローパスフィルター(LPF)に通して正弦波を作る実験を行います。

図2. 矩形波の信号をLPFに通すことで、高調波成分を減衰させ正弦波を得る
矩形波は多くの高調波で構成されている信号であるため、その高調波成分をローパスフィルター(LPF)で除去し、正弦波信号を作る実験をします。
まず、最初に矩形波の成分を測定器で観測します。第13回ではCMOSタイマーIC、LMC555を使い、1Hzから1MHzまでのオーディオ・ジェネレーター(AF Signal Generator、以下AG)を製作しました。

図3. 第13回で製作したAG。出力は矩形波
出力信号は5VとGNDレベルを行き来する矩形波です。矩形波には、基本となる発振周波数以外に多くの奇数次の高調波信号が含まれていることが理論でも証明されています。
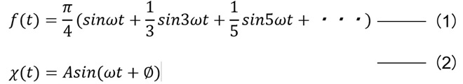
筆者には容易に理解し難い数学理論ですが、多くの書物には「理想的な矩形波は、フーリエ級数で展開すると、下記(1)式のように無限個の奇数次高調波(3次、5次、7次・・・)の合成で表されます。」との記述があります。
下記(1)式が矩形波をフーリエ級数で展開された数式です。基本波sinωtに対して3倍のsin3ωt、5倍のsin5ωt、さらにその奇数倍の信号sin(2n+1)が基本波の信号レベルのそれぞれ1/3、1/5、1/(2n+1)のレベルで含まれていることを示しています(nは整数)。

例えば発振器で1MHzの矩形波を生成したとしましょう。その発振器の出力に短いビニール線を接続し、別に準備したゼネカバ受信機でビニール線から輻射される信号を受信すると1MHzの周波数以外にレベルは低いですが、3MHzあるいは5MHzでそれらの信号を受信することができます。
さらに1MHzの偶数倍の周波数、例えば2MHzや4MHzなどでも奇数倍ほどレベルは強くありませんが同様に信号を受信できます。
上記(1)式は基本波sinωtに対して奇数倍の高調波が含まれていることが数式で表現されています。本題から外れますが、2MHzや4MHzで信号が受信できるのは何か変です。数式は奇数倍の高調波が含まれているとの説明ですが、実際には偶数倍の信号も含まれているようです。
理想的な矩形波は上に示した(1)式から分かるように偶数倍の高調波は含まれていないことは多くの書物の説明するところです。ところが、実際、筆者が使用しているような廉価版のAGでは、偶数次の高調波信号もスクリーンに現れます。
この1MHzの矩形波をtinySA(小型のスペアナ)で観測し、スクリーンを写真撮影したものが図4です。前述したように奇数倍、偶数倍の高調波が高レベルで含まれていることが分かります。

図4. 1MHzの矩形波の高調波をtinySAで観測 (SPAN: 10MHz)
偶数次の高調波が出る主な原因として下記の原因が考えらます。
(1) 矩形波のデューティ比が50%からズレている
(2) 矩形波の立ち上がりと立ち下がりが非対称
ピュアなデューティ比が50%の矩形波を出力するAGの手持ちはありませんので、このまま実験を進めます。高調波は悪い影響を与えるとの印象がありますが、そうとも言えず役に立つこともあります。それでもAGの基本信号は、正弦波であってほしいと思うことから矩形波から正弦波を作る実験を行います。
矩形波が多くの正弦波の合成であることから、逆に複数の正弦波を合成すれば矩形波が再現できるのではないかと考え、実験を行うことにしました。できるだけ多くの信号源を用意したいところですが、筆者が使えるのは手持ちのAG 3台です。それぞれの発振周波数を奇数倍になるように設定し、これらの信号を合成すれば、理論上は矩形波に近い波形が得られるはずです。
3台のAGの周波数をそれぞれ10kHz、30kHz、50kHzとします。そのときの信号レベルを30kHzの信号では10kHzの1/3、50kHzでは1/5としました。これは上記(1)式に基づくものです。
それぞれの周波数の信号f1、f2、f3を図5の回路に加え、合成したあとの信号をオシロスコープで観測します。その合成した信号が図5の右端の波形です。3つの入力信号は、それぞれ正弦波でしたが、出力信号は矩形波に近づいているのが分かります。

図5. 3つの周波数の信号から矩形波を生成する実験
矩形波の信号に対して理想的な正弦波は(2)式で表すことができます。この式から分かることは、信号の位相(φ)がずれる可能性はあっても、正弦波には矩形波のような高調波は含まれていないということです。
とはいえ、筆者が実験で使用するAGは正弦波出力を選択したとしても、残念ながら高調波は含まれています。図6は、手持ちのAGで1MHzの正弦波信号をtinySAで測定したものです。理想的には一番左の1MHzの信号のスペクトラムだけが表示されるのですが、このAGでは2MHzと3MHzの高調波信号が基本波の約60dB低下したレベルで出力されているのが分かります。

図6. 1MHzの正弦波をtinySAで観測 (SPAN: 10MHz)
次ページは「RC LPFの製作~波形観測」
HW Lab バックナンバー
アマチュア無線関連機関/団体
各総合通信局/総合通信事務所
アマチュア無線機器メーカー(JAIA会員)
©2026 月刊FBニュース編集部 All Rights Reserved.